名贯彩票在滨海湿地大型底栖动物群落多样性格局及驱动机制方面取得新进展
大型底栖动物是湿地生态系统中的重要生物类群,开展黄河三角洲湿地大型底栖动物群落多样性格局及驱动机制研究,对于深入理解该区域生物多样性动态变化,支撑湿地生态保护与可持续管理具有重要意义。近日,名贯彩票李宝泉研究团队系统评估了黄河三角洲潮间带与近岸浅海、不同潮汐区以及调水调沙背景下大型底栖动物群落的空间分布特征和响应模式(图1)。

图1 黄河三角洲湿地不同区域采样站位图
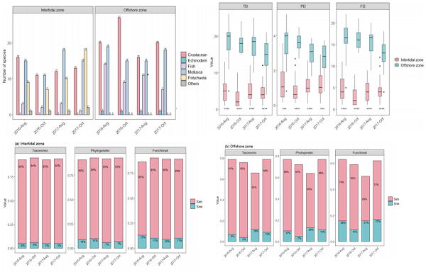
首次运用谱系和功能β多样性,分析了黄河三角洲湿地潮间带及近岸浅海大型底栖动物多样性。在分类、谱系和功能维度上,近海站点的α-多样性较高,潮间带群落的β-多样性较高;物种更替对分类学、谱系和功能性β-多样性的贡献更为显著,突出了这两个区域之间不仅物种组成发生了变化,谱系关系和功能性特征也发生了变化。此外,潮间带的物种更替较高,而近海区(特别是功能性β-多样性)则表现出更高的嵌套性成分贡献(图2)。

图2 大型底栖动物分类、谱系和功能β多样性格局
系统分析黄河口不同潮汐区大型底栖动物群落空间格局及驱动因素,探讨底栖动物对环境异质性的生态响应机制。结果表明,北岸潮汐区和南岸大汶流潮汐区的群落组成和α多样性存在显著差异。北岸潮汐区物种丰富度较高,以软体动物(51%)和环节动物(45%)为主,盐度是主要驱动因素;南岸大汶流潮汐区以节肢动物(74%)为主,沉积物砂含量是主要驱动因素。β多样性分析显示高环境异质性塑造了上述物种分布格局,物种更替是生物多样性空间差异的主导过程(图3)。

图3 黄河潮汐区与大汶流潮汐区大型底栖动物群落组成驱动因素
针对调水调沙工程对河口邻近海域的生态效应,研究团队梳理了2022-2023年调水调沙周期内不同径流条件下黄河口大型底栖动物群落特征。从群落地理学的角度来看,在春季和夏季枯水期,典型的河口底栖动物群落主要分布于距离黄河口口门30 km范围内(图4)。调水调沙后,河口北侧原有群落保持较好稳态,河口南侧受水沙输入影响,群落结构遭到严重破坏;水沙排放影响下的近河口物种丧失和远河口环境过滤,导致了群落结构空间异质性增强;河口区大型底栖动物群落β多样性显著增加,环境梯度上的物种更替率增高且群落结构呈现破碎化特征(图5)。

图4 黄河口大型底栖动物群落结构和稳定性对调水调沙的响应

图5 调水调沙工程对大型底栖动物群落β多样性空间分布格局的影响
研究结果深化了黄河三角洲湿地大型底栖动物群落多样性格局及其驱动机制认知。相关研究成果发表在Ecology and Evolution、Aquatic Sciences、Marine Environmental Research等期刊上。王娇特别研究助理、孙德斌博士生和符清露硕士生为第一作者,陈琳琳副研究员和李宝泉研究员分别为通讯作者。该研究得到了国家自然科学基金、山东省自然基金和研究所研究组群等项目的资助。
相关论文信息:
(1)Jiao Wang,Shaoyu Jiang, Debin Sun,Jing Chen,Baoquan Li,Linlin Chen*,2024. Turnover structures in macrobenthic communities rather than nestedness in the Yellow River Delta wetland,China. Aquatic Sciences (2024) 86:99.
(2)Qinglu Fu,Jiao Wang,Debin Sun,Jianyu Chi,Wenzheng Fan,Yu Li,Yilin Wang,Baoquan Li,Linlin Chen*. Environmental heterogeneity drives the spatial distribution of macrobenthos in the Yellow River Delta wetland. Aquatic Sciences (2025) 87:47.
(3)Debin Sun, Qinglu Fu, Jiao Wang, linlin Chen, Jing Chen, Yilin Wang, Baoquan Li*. How marine megabenthos fauna responds to river discharge and artificial flood in large river estuary[J]. Ecology and Evolution, 2025, 15:e70755.
(4)Debin Sun, Jiao Wang, Qinglu Fu, Linlin Chen, Jing Chen,Teng Sun, Baoquan Li*, 2024. Artificial River Flow Regulation Triggered Spatio-temporal Changes in Marine Macrobenthos of the Yellow River Estuary. Marine Environmental Research, 202 (2024) 106804.
附件下载: